Oktober 31. 2023, Ola Lundberg

Elbilstrenden i Sverige 2023: Nybilsregistrering av elbilar per län & kommuner

En analys baserad på data från den statliga myndigheten Trafikanalys

Omställningen till olika typer av drivmedel i transportsektorn är en aktuell fråga som engagerar många. Medan vissa väljer traditionella bensin- eller dieselbilar, har andra övergått till att använda elbilar. Hur ser landskapet ut för nyregistrerade elbilar i Sverige under 2023? Vilka län och kommuner leder utvecklingen, och var möter vi utmaningar?

Om Undersökningen

I den här artikeln presenterar vi en analys baserad på data från Trafikanalys. Undersökningen fokuserar på andelen nyregistrerade elbilar i olika län och kommuner i Sverige under perioden januari till september 2023. Vi hoppas att denna information kommer att vara av intresse för såväl enskilda konsumenter som för de som är verksamma inom bilhandeln.

Statistiken som sammanställs är framtagen av Trafikanalys. Denna statliga myndighet är ansvarig för att förse allmänheten och beslutsfattare med officiell statistik inom området transport och kommunikation. Det är viktigt att notera att enbart helt elektriska fordon; elhybrider och laddhybrider är inte inkluderade i denna undersökning.

Nationella & Regionala Trender för Nyregistrerade Elbilar

Enligt data från Trafikanalys blir elbilar allt mer populära i Sverige. Mellan januari och september 2023 visar statistiken att Stockholms län leder med den högsta andelen nyregistrerade elbilar, följt av Hallands län och Västra Götalands län.

Det är intressant att notera att inte bara storstadsområden utan även vissa mindre län och kommuner visar en hög andel nyregistrerade elbilar. Det indikerar att intresset och möjligheterna för elbilar inte enbart är en fråga för storstadsregioner.

En möjlig förklaring till den nationella trenden kan vara att allt fler blir medvetna om de fördelar som elbilar kan erbjuda, såsom lägre driftskostnader och minskade utsläpp. Dessutom har tillgängligheten av laddningsinfrastruktur ökat i flera delar av landet, vilket gör det mer praktiskt att äga och använda en elbil.

Skilnader på Kommunal Nivå

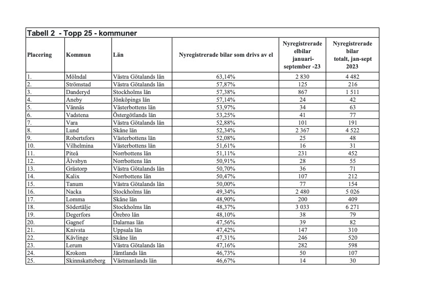
När vi bryter ner datan på en regional nivå framträder flera intressanta insikter. Enligt Trafikanalys har vissa län och kommuner i Sverige en betydligt högre andel nyregistrerade elbilar än andra. Till exempel visar vår undersökning att Mölndal i Västra Götalands län har den högsta andelen nyregistrerade elbilar bland kommunerna, medan Strömsund i Jämtlands län har den lägsta.

Detta ger upphov till frågor om varför vissa regioner ligger före andra i övergången till elbilar. Är det tillgängligheten till laddningsstationer, eller kanske socioekonomiska faktorer som inkomst och avstånd till arbetsplatser, som spelar in? Vi ser också att det inte enbart är de större städerna eller de rikare kommunerna som har hög andel elbilar. Detta indikerar att det finns andra faktorer som påverkar övergången från bensin till el som drivmedel.

Utmaningar & Möjligheter med Ökad Efterfrågan på Elbilar

Trots den ökande populariteten av elbilar i Sverige, framträder också vissa utmaningar. En av de mest påtagliga är den varierande andelen av nyregistrerade elbilar i olika regioner. Medan vissa kommuner och län har kommit långt i övergången till eldrift, ligger andra efter.

En möjlig utmaning kan vara brist på tillgänglig laddningsinfrastruktur i vissa områden, särskilt i mindre städer och mer avlägsna regioner. Detta kan göra det mindre attraktivt för invånarna i dessa områden att investera i en elbil.

På andra håll ser vi att socioekonomiska faktorer som inkomst och avstånd till arbetsplatser kan ha en inverkan. Det kan vara svårare för invånare i glesbygder att rättfärdiga kostnaden för en elbil om de har långa avstånd att pendla och färre laddningsmöjligheter längs vägen.